Documentation

This page contains explanations and references for the tools provided.

Licensing & How To Cite Oligowizard

All tools available here are free to be used for personal, academic and commercial use under Creative Commons licensing. For more information please refer to the End User Licence Agreement or get in touch. We kindly ask you to cite our resource - you may adapt the following sentence:

'Oligo properties were calculated using the oligowizard nucleic acid toolbox - available at https://oligowizard.com'

Recent Patchnotes

2026-01-22 - Version 4.2.1
- Preparations ahead of version 5.0.0
- Minor style and quality of life improvements

2025-04-20 - Version 4.2.0
- Released Oligowizard premium!
- Released API interface for oligo calculations (github)
- Added Confidential mode for premium users
- Vector Graphics Tool now comes with Templates
- Added yield calculation to /advanced
- Responsive Design for mobile and tablets
- Re-worked full documentation (see below)
- Minor style and quality of life improvements

2025-03-30 - Version 4.1.0
- Added more customisation to vector graphic drawing
- Fixed bug where tM calculations would not account for concentration
- Added Captcha for signup and login
- Minor style and quality of life improvements

2024-11-18 - Version 4.0.3
- Dedicated Structure drawing feature
- misc. design changes
- misc. quality of life improvements

2024-10-24 - Version 4.0.2
- Fixed bug for tm calculation at low salt
- Fixed bug for oligos with no extinction at 260 nm
- misc. bug fixes

2024-09-30 - Version 4.0.1
- misc. hotfixes

2024-09-29 - Version 4.0.0
- Major release of a new Version!
- Re-design of the user interface
- Added chemical structure (*.cdxml) drawing tool
- Improved HPLC trace analysis tool and added analytical features
- Completely overhauled batch processing
- Increased number of favourites from 5 to 10
- Custom Nucleotides now account for molar extinction
- significant improvements to the backend architecture
- misc. security improvements

Oligo Properties Calculator

The Oligowizard advanced calculator provides an intuitive interface to calculate biophysical properties of nucleic acid sequences. The tool is able to process modified nucleic acids and mixmers with common 2’ Ribose modifications as well as both PO/PS backbones.


INPUT

  • Sequence (sequence) [STRING]
  • required

    Sequences should be in 5' to 3' direction. Oligowizard uses a dedicated code to represent the most commonly used 2' modification patterns: DNA: (A / C / G / T), RNA: ( D / E / F / U), LNA: (H / I* / J / K), MOE: (L / M* / N / O), OMe: (P / Q / R / S), 2'- F:(V / W / X / Y) Note here, that bases indicated with an asterisk (*) carry an 5-Me on the nucleobase, as these are the most commonly used version of the phosphoramidite. Lower case letters are used to denote phosphorothioate linkages (PS) on the backbone, while capital letters symbolise regular phosphate diesters (PO). Placement of the PS linkage is relative to the 3' postion of the nucleotide. AC*GT == AcGT. If the character at the 3' end of the sequence is in lower case, no changes are made to the result, as the 3' position does not usually carry a phosphate group. This distinction is however important, if a modification is attached to the 3' end!

  • A260 (A260) [FLOAT]
  • optional, default = 1

    The measured absorbance (optical densitiy) at 260 nm. The value is used to calculate concentration, and melting temperature.

  • Salt Concentration mM Na+ (Na_conc) [FLOAT]
  • optional, default = 50

    The concentration of sodium cations. Value is used in the melting temperature calculation

  • Salt Concentration mM K+ (K_conc) [FLOAT]
  • optional, default = 0

    The concentration of potassium cations. Value is used in the melting temperature calculation

  • Salt Concentration mM Mg2+ (Mg_conc) [FLOAT]
  • optional, default = 0

    The concentration of magnesium cations. Value is used in the melting temperature calculation

  • 3'-Modification (three_prime) [STRING]/[FLOAT]
  • optional, default = "OH"

    Modification attached at the three prime position of the oligonucleotide. If a string is passed, a lookup table for predefined modifications will be used to load mass, absorbance / melting properties, possible protecting groups / oxidation states. If a floating point number is passed, mass calculations will use this (ommitting the 3'Oxygen) -- no further assumptions will be made about absorbance or melting properties. Linkage type (PO/PS) between the three prime nucleotide and possible modifcation will be calculated based on the capitalisation of the last character in the sequence.

  • 5'-Modification (five_prime) [STRING]/[FLOAT]
  • optional, default = "OH"

    Modification attached at the five prime position of the oligonucleotide. If a string is passed, a lookup table for predefined modifications will be used to load mass, absorbance / melting properties, possible protecting groups / oxidation states. If a floating point number is passed, mass calculations will use this (ommitting the 3'Oxygen) -- no further assumptions will be made about absorbance or melting properties.

  • 5' Modification was attached via PS linkage (five_is_PS) [BOOL]
  • optional, default = "FALSE"

    Used to determine the mass.

OUTPUT

  • Sequence (sequence) [STRING]
  • Returns the input sequence.

  • Custom NT removed (sequence_sanitised) [STRING]
  • Returns the input sequence with any custom nucleotides replaced by the closest mapping DNA base (based on user setting).

  • DNA-PO eq. (DNAeq) [STRING]
  • Returns the DNA-Phosphodiester equivalent of the input sequence: as capital letters (PO) with any non-DNA bases replaced by the corresponding DNA bases.

  • 5' Modification (five_prime) [STRING]
  • Returns the input 5' modification mapped to its full name, or entered FLOAT value as string.

  • 3' Modification (three_prime) [STRING]
  • Returns the input 3' modification mapped to its full name, or entered FLOAT value as string.

  • Absorbance at 260 nm (A260) [FLOAT]
  • Returns the input absorbance at 260 nanometer.

  • Length (oligo_length) [INTEGER]
  • Returns the length of the nucleotide in nucleotides (not counting terminal modifcations).

  • GC Content (gc_cont) [FLOAT]
  • Returns the percentage of Guanosine and Cytosin bases (or equivalents thereof) in the sequence.

  • Reverse Complement (rev_comp) [STRING]
  • Reverse complement of the sequence. Custom nucleotides will be replaced according to user-specified equivalent bases. Notably: as all characters will be inverted in capitalisation and backbone identity is relative to the 3' linkage, postion of PS linkages are not preserved correctly (AcGGT-> ACCgT == A-C*G-G-T -> A-C-C-G*T) this is a known bug.

  • DNA melting temperature (tm1) [FLOAT]
  • Melting temperature, assuming the oligonucleotide is a DNA PO strand [1][2][3]

  • Melting temperature approximation (tm2) [STRING]
  • Estimated melting temperature with correction values applied for sugar modifications where available (currently, MOE and LNA). Returned as a string with a range. Takes user-specified modifiers into account.

  • Molecular weight (canonical) (mass1) [FLOAT]
  • Molecular weight of the oligo and terminal modifications with all protecting groups removed (DMT-OFF)

  • Molecular weight - Alternative 3' Mass (mass2) [FLOAT]
  • If the modification at the 3' position of the oligo has an alternative mass depending on protection groups / oxidative state, the corresponding mass is returned here.

  • Alternative 3' Mass Identity (mass2_text) [STRING]
  • Short explanation, which alternative form of the 3' modification was taken into account for the alternative mass.

  • Molecular weight - Alternative 5' Mass (mass3) [FLOAT]
  • If the modification at the 5' position of the oligo has an alternative mass depending on protection groups / oxidative state, the corresponding mass is returned here. If no modification was specified, the DMT-ON weight will be given here.

  • Alternative 5' Mass Identity (mass3_text) [STRING]
  • Short explanation, which alternative form of the 5' modification was taken into account for the alternative mass. For unmodified oligos, this will be "5' DMT protected"

  • Molecular weight - Double modified (mass4) [FLOAT]
  • If the modification at the 3' and 5' positions of the oligo have an alternative mass depending on protection groups / oxidative state, the corresponding mass is returned here. If no modification was specified for the 5' end, the DMT-ON weight will be given here in combination with the 3' alternative mass.

  • Alternative Mass Identity (mass4_text) [STRING]
  • Short explanation, which alternative forms of the 3' and 5' modification was taken into account for the alternative mass.

  • Molar Extinction Coefficient (simple) (molext) [FLOAT]
  • Molar extinction coefficient (in L mol-1 cm-1) of the oligo and any present modifcations based on a simple extinction model. Will take user specified extinction values into account

  • Concentration (Simple extinction) (conc1) [FLOAT]
  • Concentration of the oligo (in micromole per liter) based on simple extinction coefficient and specified absorbance at 260 nm (A260).

  • Concentration (Simple extinction) (conc2) [FLOAT]
  • Concentration of the oligo (in nanogram per microliter) based on simple extinction coefficient and specified absorbance at 260 nm (A260).

  • Molar Extinction Coefficient (NN Model) (molext_nn) [FLOAT]
  • Molar extinction coefficient (in L mol-1 cm-1) of the oligo based on the nearast neighbor model. Currently only takes nucleobases into account.

  • Concentration (NN Model) (conc1_nn) [FLOAT]
  • Concentration of the oligo (in micromole per liter) based on the nearast neighbor model extinction coefficient and specified absorbance at 260 nm (A260).

  • Concentration (NN Model) (conc2_nn) [FLOAT]
  • Concentration of the oligo (in nanogram per microliter) based on the nearast neighbor model extinction coefficient and specified absorbance at 260 nm (A260).

REFERENCES

[1] SantLucia et al. (1998): 'A unified view of polymer, dumbbell, and oligonucleotide DNA nearest-neighbor thermodynamics'
[2] SantLucia et al. (1996): 'Improved Nearest-Neighbor Parameters for Predicting DNA Duplex Stability'
[3] Owczarzy et al. (2004): 'Effects of Sodium Ions on DNA Duplex Oligomers: Improved Predictions of Melting Temperatures'


Custom Nucleotides

  • Cutom Building Blocks (custom_nt) [ARRAY[ARRAY]]
  • optional, default = NULL

    If you have an oligowizard.com account, you can define your own nucleotides using the numbers 0-9. You can specify these under settings. All [FLOAT] round to 4 decimal points

    • Name (name) [STRING]
    • required, default = "Custom Nucleotide"

      Name to identify the custom nucleotide

    • Molecular Weight (mass) [FLOAT]
    • required, default = 0.0000

    • Molar Extinction (extinction) [FLOAT]
    • required, default = 0.0000

    • Most closely resembles (ACGT) [CHAR[A,C,G,T]]
    • required, default = "A"

    • Effect on Melting Temperature (tm) [FLOAT](signed)
    • required, default = 0.0000

    • Colour (colour) [STRING]
    • required, default = "#566573"

Chemical Structure Generation

This tool allows you to generate structure files (as *.cdxml) from a given nucleotide sequence. These files can be viewed and edited in a compatible third-party structure editor such as ChemDraw or ACD/ChemSketch.

INPUT

  • Sequence (sequence) [STRING]
  • required

    Sequences should be in 5' to 3' direction. Oligowizard uses a dedicated code to represent the most commonly used 2' modification patterns: DNA: (A / C / G / T), RNA: ( D / E / F / U), LNA: (H / I* / J / K), MOE: (L / M* / N / O), OMe: (P / Q / R / S), 2'- F:(V / W / X / Y) Note here, that bases indicated with an asteriks (*) carry an 5-Me on the nucleobase, as these are the most commonly used version of the phosphoramidite. Lower case letters are used to denote phosphorothioate linkages (PS) on the backbone, while capital letters symbolise regular phosphate diesters (PO). Placement of the PS linkage is relative to the 3' postion of the nucleotide. AC*GT == AcGT. If the character at the 3' end of the sequence is in lower case, no changes are made to the result, as the 3' position does not usually carry a phosphate group.

  • Bond Line Width (width) [INTEGER]
  • optional, default = 1

    Sets the width of the bonds.

  • Atom Label Font Size (size) [INTEGER]
  • optional, default = 12

    Sets the font size for atom labels.

  • LabelFace (face) [INTEGER]
  • optional, default = 96

    Determines the appearnces of atom labels - default/bold. Enter 97 for bold

  • Scaling factor (scale) [FLOAT]
  • optional, default = 0.45

    Scales the size of the molecule. Especially useful to fit larger molecules on one page.

OUTPUT

  • structure_XXXXXX.cdxml (outfile) [FILE]
  • File containing the oligonucleotide structure in cdxml format.

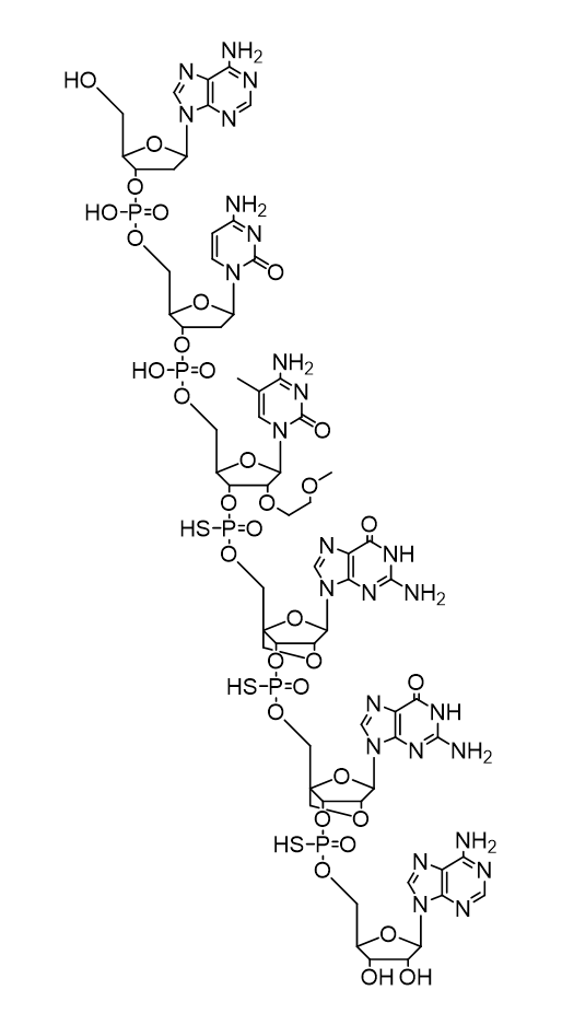
    Example Chemical Structure
    Example Chemical Structure

Disclaimer: ‘ChemDraw’ is a registered property of Revvity, Inc. (formerly PerkinElmer, Inc.), and ‘ACD/ChemSketch’ is a registered property of Advanced Chemistry Development, Inc. (ACD/Labs). OLIGOWIZARD LTD has no affiliation with Revvity, Inc. or ACD/Labs. The chemical structure drawing feature on oligowizard.com generates CDXML files compatible with software like ChemDraw (a separate licence may be required) and similar tools, including ACD/ChemSketch. OLIGOWIZARD LTD does not provide software licences or support for these third-party applications.

Vector Graphics Drawing Tool

Tool to generate simple vector graphics of nucleic acid chains

INPUT

  • Sequence (sequence) [STRING]
  • required

    Sequences should be in 5' to 3' direction. Oligowizard uses a dedicated code to represent the most commonly used 2' modification patterns: DNA: (A / C / G / T), RNA: ( D / E / F / U), LNA: (H / I / J / K), MOE: (L / M / N / O), OMe: (P / Q / R / S), 2'- F:(V / W / X / Y) Lower case letters are used to denote phosphorothioate linkages (PS) on the backbone, while capital letters symbolise regular phosphate diesters (PO). Placement of the PS linkage is relative to the 3' postion of the nucleotide. AC*GT == AcGT. If the character at the 3' end of the sequence is in lower case, no changes are made to the result, as the 3' position does not carry a phosphate group.

  • Settings (/settings) [ARRAY]
  • required

    The settings menu allows you to customise the style of the vector graphic (login required).

    • Border / Stroke Colour (stroke_colour) [STRING]
    • required, default = "#212f3d"

      Defines the colour of outline strokes.

    • Stroke Width (stroke_width) [INTEGER]
    • required, default = "0"

      Sets the thickness of outline strokes.

    • Circle Radius (circle_radius) [INTEGER]
    • required, default = 60

      Radius of each nucleotide circle.

    • Backbone Thickness (backbone_thickness) [INTEGER]
    • required, default = 50

      Thickness/height of the backbone line.

    • Font Colour (font_colour) [STRING]
    • required, default = "black"

      Sets the colour of base labels.

    • Font Size (font_size) [STRING]
    • required, default = "110"

      Size of base label text.

    • Font Weight (font_weight) [STRING]
    • required, default = "bold"

      Controls label thickness (normal, bold).

    • DNA Colour (colour_DNA) [STRING]
    • required, default = "#566573"

      Defines the colour of DNA monomers.

    • RNA Colour (colour_RNA) [STRING]
    • required, default = "#3498db"

      Defines the colour of RNA monomers.

    • MOE Colour (colour_MOE) [STRING]
    • required, default = "#9b59b6"

      Defines the colour of MOE monomers.

    • Methoxy (OMe) Colour (colour_OMe) [STRING]
    • required, default = "#138d75"

      Defines the colour of OMe monomers.

    • LNA Colour (colour_LNA) [STRING]
    • required, default = "#ec7063"

      Defines the colour of LNA monomers.

    • 2'-F Colour (colour_F) [STRING]
    • required, default = "#eb984e"

      Defines the colour of 2'-F monomers.

    • Phosphate Backbone (PO) (colour_PO) [STRING]
    • required, default = "#212f3d"

      Defines the colour of PO backbone.

    • Phosphothioate Backbone (PS) (colour_PS) [STRING]
    • required, default = "#c0392b"

      Defines the colour of PS backbone.

  • Load a Preset (preset) [STRING]
  • optional, default = NULL

    Loads and applies a preset for oligo vector draw

    Oligo Draw Presets Overview
    Available Colour Presets

    In addition to the customisable settings, we also provide a suite of ready-to-go presets for common types of nucleic acid therapeutics. Presets can be loaded by the click of a button and then further customised with the settings.

OUTPUT

  • oligovector_XXXXXX.svg (outfile1) [FILE]
  • The tool returns a vector graphic of the drawn oligo chain. The figure can be viewed and edited in third-party vector graphic software (such as adobe illustrator or Inkscape)

    Oligo Draw Example Vector Graphic
    Dynamically generated legend for the oligo draw feature

  • oligolegend_XXXXXX.svg (outfile2) [FILE]
  • The tool automatically generates a second vector graphic containing a figure legend. The legend can be viewed and edited in third-party vector graphic software (such as adobe illustrator or Inkscape)

    Oligo Draw Example Legend
    Dynamically generated legend for the oligo draw feature

Batch Calculator

Tool to perform Oligo Property calculations on a library of compounds at the same time. Tje tool works similar to the calculator interface, but is optimised to handle large files rather than manual inputs. The tool returns a table that can be directly viewed in the browser or downloaded. Customisation of the calculation is limited, if more tailored high-throughput calcuations are required, we recommend using the calculator via our API instead.

INPUT

  • Upload new file (filename) [FILE]
  • required

    Data is entered by uploading a comma seperated To ensure compatibility, please exclusivle use the template provided here :
    [DOWNLOAD TEMPLATE]
    When saving, do not change the file type (*.csv) and make sure the file does not contain any special characters! Please avoid special characters, use the decimal point '.' to denote decimal values (rather than a comma ',') and make sure all columns are filled. Batch mode will perform melting temperature calculations assuming 50 mM sodium cations. Please note, that in contrast to the UI based calculator, all input fields are required! Empty cells will cause the script to fail.

    • Name (name) [STRING]
    • required

      Name / ID of the compound. Used to identify the row in the output.

    • Sequence (sequence) [STRING]
    • required

      Sequences should be in 5' to 3' direction. Oligowizard uses a dedicated code to represent the most commonly used 2' modification patterns: DNA: (A / C / G / T), RNA: ( D / E / F / U), LNA: (H / I* / J / K), MOE: (L / M* / N / O), OMe: (P / Q / R / S), 2'- F:(V / W / X / Y) Note here, that bases indicated with an asteriks (*) carry an 5-Me on the nucleobase, as these are the most commonly used version of the phosphoramidite. Lower case letters are used to denote phosphorothioate linkages (PS) on the backbone, while capital letters symbolise regular phosphate diesters (PO). Placement of the PS linkage is relative to the 3' postion of the nucleotide. AC*GT == AcGT. If the character at the 3' end of the sequence is in lower case, no changes are made to the result, as the 3' position does not usually carry a phosphate group. This distinction is however important, if a modification is attached to the 3' end!

    • 5'-Modification (five_prime) [STRING]/[FLOAT]
    • required, default = "OH"

      Modification attached at the five prime position of the oligonucleotide. If a string is passed, a lookup table for predefined modifications will be used to load mass, absorbance / melting properties, possible protecting groups / oxidation states. If a floating point number is passed, mass calculations will use this (ommitting the 3'Oxygen) -- no further assumptions will be made about absorbance or melting properties.

    • 5' Modification was attached via PS linkage (five_is_PS) [BOOL]
    • required, default = "FALSE"

      Used to determine the mass.

    • 3'-Modification (three_prime) [STRING]/[FLOAT]
    • required, default = "OH"

      Modification attached at the three prime position of the oligonucleotide. If a string is passed, a lookup table for predefined modifications will be used to load mass, absorbance / melting properties, possible protecting groups / oxidation states. If a floating point number is passed, mass calculations will use this (ommitting the 3'Oxygen) -- no further assumptions will be made about absorbance or melting properties. Linkage type (PO/PS) between the three prime nucleotide and possible modifcation will be calculated based on the capitalisation of the last character in the sequence.

    • A260 (A260) [FLOAT]
    • required, default = 1

      The measured absorbance (optical densitiy) at 260 nm. The value is used to calculate concentration, and melting temperature.

  • Select Parameters to Calculate (filename) [ARRAY[BOOL]]
  • required

    Array of values to be calculated - see below.

OUTPUT

  • batch_XXXXXX.csv (outfile) [FILE]
  • Comma separated table containing the results of the calculation.

    • Name (name) [STRING]
    • Name / ID of the compound. Used to identify the row in the output.

    • Sequence (sequence) [STRING]
    • Returns the input sequence.

    • 5' Modification (five_prime) [STRING]
    • Returns the input 5' modification mapped to its full name, or entered FLOAT value as string.

    • 3' Modification (three_prime) [STRING]
    • Returns the input 3' modification mapped to its full name, or entered FLOAT value as string.

    • Absorbance at 260 nm (A260) [FLOAT]
    • Returns the input absorbance at 260 nanometer.

    • Length (oligo_length) [INTEGER]
    • Returns the length of the nucleotide in nucleotides (not counting terminal modifcations).

    • GC Content (gc_cont) [FLOAT]
    • Returns the percentage of Guanosine and Cytosin bases (or equivalents thereof) in the sequence.

    • Reverse Complement (rev_comp) [STRING]
    • Reverse complement of the sequence. Custom nucleotides will be replaced according to user-specified equivalent bases. Notably: as all characters will be inverted in capitalisation and backbone identity is relative to the 3' linkage, postion of PS linkages are not preserved correctly (AcGGT-> ACCgT == A-C*G-G-T -> A-C-C-G*T) this is a known bug.

    • DNA melting temperature (tm) [FLOAT]
    • Melting temperature, assuming the oligonucleotide is a DNA PO strand [1][2][3]

    • Molecular weight (canonical) (mass1) [FLOAT]
    • Molecular weight of the oligo and terminal modifications with all protecting groups removed (DMT-OFF)

    • Molar Extinction Coefficient (simple) (molext) [FLOAT]
    • Molar extinction coefficient (in L mol-1 cm-1) of the oligo and any present modifcations based on a simple extinction model. Will take user specified extinction values into account

    • Concentration (Simple extinction) (conc1) [FLOAT]
    • Concentration of the oligo (in micromole per liter) based on simple extinction coefficient and specified absorbance at 260 nm (A260).

    • Concentration (Simple extinction) (conc2) [FLOAT]
    • Concentration of the oligo (in nanogram per microliter) based on simple extinction coefficient and specified absorbance at 260 nm (A260).

    • Molar Extinction Coefficient (NN Model) (molext_nn) [FLOAT]
    • Molar extinction coefficient (in L mol-1 cm-1) of the oligo based on the nearast neighbor model. Currently only takes nucleobases into account.

    • Concentration (NN Model) (conc1_nn) [FLOAT]
    • Concentration of the oligo (in micromole per liter) based on the nearast neighbor model extinction coefficient and specified absorbance at 260 nm (A260).

    • Concentration (NN Model) (conc2_nn) [FLOAT]
    • Concentration of the oligo (in nanogram per microliter) based on the nearast neighbor model extinction coefficient and specified absorbance at 260 nm (A260).

    • Molecular weight - Alternative 3' Mass (mass2) [FLOAT]
    • If the modification at the 3' position of the oligo has an alternative mass depending on protection groups / oxidative state, the corresponding mass is returned here.

    • Alternative 3' Mass Identity (mass2_text) [STRING]
    • Short explanation, which alternative form of the 3' modification was taken into account for the alternative mass.

    • Molecular weight - Alternative 5' Mass (mass3) [FLOAT]
    • If the modification at the 5' position of the oligo has an alternative mass depending on protection groups / oxidative state, the corresponding mass is returned here. If no modification was specified, the DMT-ON weight will be given here.

    • Alternative 5' Mass Identity (mass3_text) [STRING]
    • Short explanation, which alternative form of the 5' modification was taken into account for the alternative mass. For unmodified oligos, this will be "5' DMT protected"

    • Molecular weight - Double modified (mass4) [FLOAT]
    • If the modification at the 3' and 5' positions of the oligo have an alternative mass depending on protection groups / oxidative state, the corresponding mass is returned here. If no modification was specified for the 5' end, the DMT-ON weight will be given here in combination with the 3' alternative mass.

    • Alternative Mass Identity (mass4_text) [STRING]
    • Short explanation, which alternative forms of the 3' and 5' modification was taken into account for the alternative mass.

HPLC Toolbox

The oligowizard HPLC tool allows you to visualise and quantify simple HPLC traces using exported data from liquid chromatography systems.

INPUT

  • Upload new file (filename) [FILE]
  • required

    The tool was developed using *.csv exports from the agilent chemstation but will accept any dataset of x = time, y = signal that is comma or tab seperated.

  • Canvas Title (title) [STRING]
  • optional, default = "New HPLC Trace"

    Title to be displayed at the top of the image. This will often be the name/ID of the analysed sample.

  • Title font size (title_fontsize) [INTEGER]
  • optional, default = 42

    Font size for the canvas title.

  • Canvas Width (canvasx) [INTEGER]
  • optional, default = 1000

    Width in pixels of the generated image.

  • Canvas Height (canvasy) [INTEGER]
  • optional, default = 300

    Height in pixels of the generated image.

  • Axis Font Size (axis_fontsize) [INTEGER]
  • optional, default = 24

    Font size for the x and y-axis labels.

  • X-Axis Label (xaxis_label) [STRING]
  • optional, default = "Retention time [min]"

    Label for the x-axis of the graph - retention time.

  • X-Axis Major Tick Mark (xaxis_major) [FLOAT]
  • optional, default = 1

    Interval in minutes for the larger tick marks on the x-axis

  • X-Axis Minor Tick Mark (xaxis_minor) [FLOAT]
  • optional, default = 0.2

    Interval in minutes for the smaller tick marks on the x-axis

  • X-Axis Start (min_minutes) [FLOAT]
  • optional, default = 0

    Starting time in minutes for the x-axis. Can be used to zoom in / crop a particular interval of the trace. We recomend to leave the value at 0.

  • X-Axis Stop (max_minutes) [FLOAT]
  • optional, default = 15

    Stopping time in minutes for the x-axis. Can be used to zoom in / crop a particular interval of the trace. If left empty, the script will auto scale the axis to the full dataset (recommended).

  • Y-Axis Label (yaxis_label) [STRING]
  • optional, default = "A260 [mAU]"

    Label for the y-axis of the graph - absorbance signal.

  • Y-Axis Limit (limit) [INTEGER]
  • optional, default = 3000

    Max value for the y-axis (signal). If left empty, the script will autoscale based on the dataset (recommended).

  • Y-Axis Major Tick Mark (yaxis_major) [FLOAT]
  • optional, default = 1000

    Interval for the larger tick marks on the y-axis

  • Y-Axis Minor Tick Mark (yaxis_minor) [FLOAT]
  • optional, default = 100

    Interval for the smaller tick marks on the y-axis

  • Trace Thickness (stroke) [FLOAT]
  • optional, default = 3

    Stroke width for the path of the HPLC trace.

  • Trace Colour (colour) [STRING]
  • optional, default = "#0000FF"

    Stroke colour for the path of the HPLC trace.

  • Analysis (analysis) [STRING]
  • optional, default = "none"

    Selector for the type of analysis ["none"/"peaks"/"purity"]. ["none"]: No analysis will be performed - the default. ["peaks"]: A peak detection algorithm will be run on the dataset. Peak detection is performed in four steps: delta from the baseline, first derivative of the signal (to identify the apex of the peak), and second derivative (to distuingush shoulders and overlapping signals), symmetry of the detected peak. Notably, the peak detection algorithm is still under development and might not accuratly detect poorly resolved or low signal-to-noise shoulders, or closely overlapping peaks. In the graphic, detected peaks will be indicated by their retention time. ["purity"]: A peak detection algorithm will be run on the dataset. Detected signals will then be integrated using their area under the curve. Peaks will be indicated in the trace with their retention time - different species will be indicated on the x-axis by red vertical bars. A table given retention time and calculated UV purity (based on AUC) will be displayed at the bottom of the graph. Please note: the peak table will only include species the algorithm considers to be true peaks (based on symmetry of the signal). Noisy background or highly asmmyetric peaks will be considered for purity calcuations only but not listed as a detected species in the table.

  • Analysis Sensitivity (sensitivity) [INTEGER]
  • optional, default = 30

    Determines the sensitivity of the peak detection algorithm (see above). The number given determines the delta between signal and background before peak detection is activated. A lower value will make the tool more sensitive. Please note: the baseline detection algorithm used is still under development, traces with low signal to noise ratio or high fluctutations in the baseline at the beginning of the trace will negatively affect the quality of the analysis.

  • Analysis Peak Font Size (peak_fontsize) [INTEGER]
  • optional, default = 18

    Font size of the peak calling on the graph. If only analysis is desired, 0 can be chosen for the font size.

OUTPUT

  • trace_XXXXXX.svg (outfile) [FILE]
  • Vector graphic file containing the HPLC trace (and analysis table). Files can be viewed and edited in third-party vector graphic software (such as adobe illustrator or Inkscape)

    Example OLIGOWIZARD HPLC Trace
    Example HPLC trace

    The tool returns the HPLC trace as a graph: signal [mAU] is plotted over time [minutes] in blue.





    Example OLIGOWIZARD HPLC Trace
    Example HPLC trace with analysis

    The tool returns the HPLC trace as a graph: signal [mAU] is plotted over time [minutes] in dark grey.

Plasmid Map Drawing Feature

A simple tool to draw minimalistic Plasmid Maps and return vector graphics.

INPUT

  • Upload new file (filename) [FILE]
  • required

    Data is entered by uploading a comma seperated text file. Please use the provided template to ensure compatibility:

    1st line: Plasmid Name[STRING]
    2nd line: Length in Base Pairs (BP)[INTEGER]
    Any other line: Feature name[STRING] , Start(BP)[INTEGER] , End(BP)[INTEGER] , Colour(HEX Code)[STRING]

OUTPUT

  • plasmid_XXXXXX.svg (outfile) [FILE]
  • Vector graphic file containing the plasmid map. Files can be viewed and edited in third-party vector graphic software (such as adobe illustrator or Inkscape)


    Example OLIGOWIZARD Plasmid Map
    Example Plasmid map

    The tool returns a simple plasmid map as a vector graphic. The backbone is indicated by a grey cirlce. Features are placed around the circle in the user specified colours. Feature labels are centered over the featuer and wrap around the plasmid. The center shows the plasmid name and total length. All elements can be edited in compatible vector graphic software.

List of Nucleotides and Terminal Modifications

PLACEHOLDER

  • 3' Modifications (three_prime) [STRING]
  • Letter Code Full Name
    OH Hydroxy
    P Monophosphate
    PPP Triphosphate
    FAM Fluorescein
    CY3 Cyanine 3
    CY5 Cyanine 5
    BQ1 Black Hole Quencher 1
    BQ2 Black Hole Quencher 2
    3N7 3'-Amino-Modifier C7
    3N3 3'-PT-Amino-Modifier C3
    3N6 3'-PT-Amino-Modifier C6
    3S3 3'-Thiol-Modifier C3 S-S
    3S6 3'-Thiol-Modifier 6 S-S


  • 5' Modifications (five_prime) [STRING]
  • Letter Code Full Name
    OH Hydroxy
    P Monophosphate
    PPP Triphosphate
    FAM Fluorescein
    CY3 Cyanine 3
    CY5 Cyanine 5
    BQ1 Black Hole Quencher 1
    BQ2 Black Hole Quencher 2
    5N5 5'-Amino-Modifier 5
    5N6 5'-Amino-Modifier C6
    N12 5'-Amino-Modifier C12
    NTT 5'-Amino-Modifier TEG
    NTP 5'-Amino-Modifier TEG PDA
    NPD 5'-Amino-Modifier C12-PDA
    5NO 5'-Aminooxy-Modifier-11
    5C5 5'-Carboxy-Modifier C5
    C10 5'-Carboxy-Modifier C10
    5SH 5'-Thiol-Modifier C6
    5SS Thiol-Modifier C6 S-S
    HEX 5' Hexynyl
    MAL Maleimide
    CHL TEG-Cholesteryl